Cinque Terre

学院公告

首页 - 学院公告 - 正文

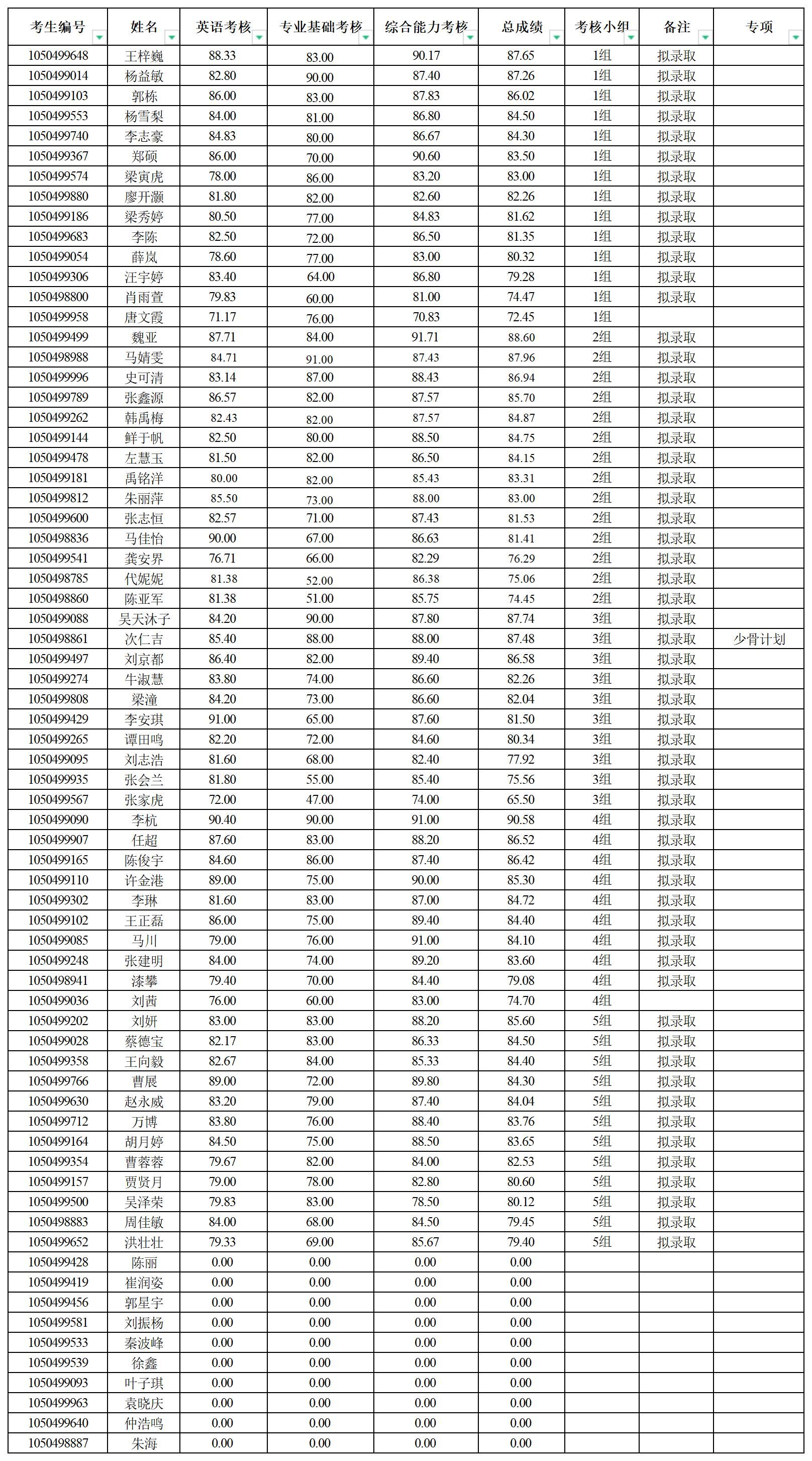
2138cn太阳集团城2025年“申请-考核”招收博士研究生成绩公示

来源: 责任编辑:黄姗 发布:2025-05-19 点击量:



中国·湖北·武汉 南湖狮子山街一号430070 Tel:+86-27-87287308 E-mail:bio@mail.hzau.edu.cn

CopyRight©中国·2138cn太阳(SunCity·VIP认证集团)官方网站-Official Website 版权所有